yl6809永利官网集团彭松绪课题组联合湖南省儿童医院肝病中心开展了有关慢乙肝儿童治疗相关结局的系列研究,相关研究成果近期陆续发表在Alimentary Pharmacology & Therapeutics(IF:7.6)、BMC Medicine(IF:9.3)、 Journal of Medical Virology((IF:12.7))等期刊上,彭松绪均为通讯作者。
我国是乙型肝炎病毒感染大国。当感染发生在婴儿期时,慢性化率高达90%,治疗过程中部分患儿需要长期持续用药。由于患者对抗病毒治疗药物应答程度不同,且药物具有一定的副作用,故早期识别应答者对于提高治疗依从性和效果方面具有重要意义。彭松绪课题组针对慢乙肝儿童的抗病毒治疗开展了一系列的研究,致力于为提高慢乙肝儿童患者治疗效果提供相关线索和方案。
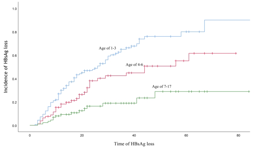
在HBV感染过程中,多项证据表明,年龄对HBV感染的疾病进展和治疗结局有显著影响,但在不同年龄组的儿童慢乙肝队列中尚未得到证明。研究课题组基于湖南省儿童医院慢乙肝初治儿童回顾性队列,针对抗病毒治疗起始年龄与临床疗效的关系展开研究,研究结局包括血清学中乙肝表面抗原(HBsAg)的丢失、乙肝e抗原(HBeAg)的清除或转换、HBV DNA的不可测等。研究将儿童患者按照治疗起始年龄进行分组,将纳入分析的306名慢乙肝儿童分为1-3岁组(139例),4-6岁组(79例)和7-17岁组(88例)。在随访结束时,1-3岁组慢乙肝儿童的累积HBsAg清除率超过90%,明显高于4-6岁以及7-17岁组。同样,HBeAg清除以及HBV DNA不可测的结局具有相似的结果。随着治疗起始年龄的增加,HBsAg清除率和HBeAg清除率均有所下降。研究表明,在HBV感染儿童患者中,接受治疗的年龄越小,治疗效果越好。相关的研究成果发表于Alimentary Pharmacology & Therapeutics(中科院1区)期刊上。

本课题组在儿童慢乙肝患者队列中发现了HBsAg和HBsAb共存现象,这种特殊的血清学模式在HBV感染自然史中是不常见的。根据相关报道,在全球范围内HBsAg和HBsAb双阳性的流行率低于10%,在我国大陆约为2.4% -5.8%。关于该血清学模式,既往研究主要集中在慢乙肝成人,对儿童慢乙肝的研究较为缺乏。本课题组研究发现,在所纳入的372例慢乙肝儿童患者中,接受抗病毒治疗且拥有该血清学模式的慢乙肝儿童患者获得HBsAg清除、HBeAg清除以及HBV DNA不可测的比例显著更高。此外,基线时不同的HBV表面抗体(HBsAb)水平与HBsAg清除、HBV DNA不可测之间存在线性剂量-反应关系,随着基线HBsAb水平的升高,HBsAg清除和HBV DNA不可测的比例也相应增加。受试者工作特征曲线(ROC)显示,截止随访结束时,HBsAb水平≥0.84 log10 IU/L且年龄≤5岁的患者在研究队列中具有最高的HBsAg清除率,为识别具有较高应答率的抗病毒患者提供了依据。相关研究也已经在BMC Medicine(中科院1区)期刊中发表。

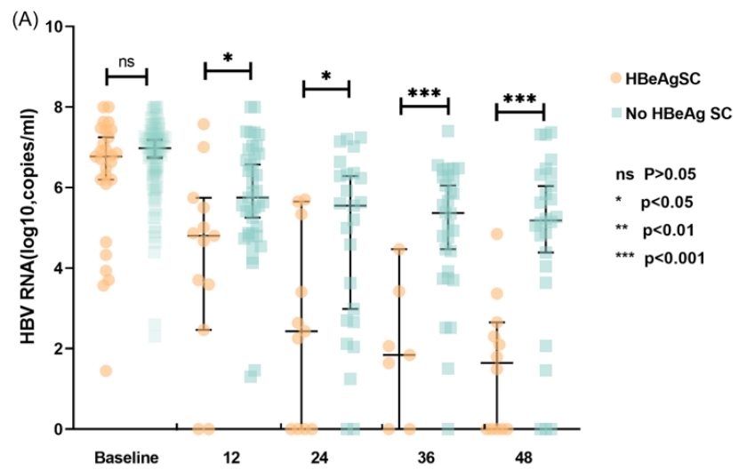
针对儿童慢乙肝治疗效果的生物标志,研究课题组关注到了新型HBV血清学标志——HBV RNA和HBcrAg。在经过抗病毒治疗的儿童慢乙肝患者中发现,早期治疗患者体内HBV RNA和HBcrAg动态水平对HBeAg血清学转换具有重要意义。通过检测抗病毒治疗后患者第6周、第12周、第48周的HBV RNA与HBcrAg的水平,Cox回归分析发现血清HBV RNA(HR = 0.71,95% CI:0.56-0.91,p = 0.006),HBcrAg(HR = 0.60,95% CI:0.43-0.84,p = 0.003)和HBsAg(HR = 0.49,95%CI:0.36-0.69,p < 0.001)是HBeAg血清转换的独立预测因素。相较于未发生HBeAg转阴的患者,HBeAg血清学转阴患者从治疗第12周开始,血清中HBV RNA以及HBcrAg的水平显著降低,而且从基线到第36周的HBV RNA下降值(AUC = 0.871,P = 0.003)以及从基线到第12周HBcrAg的下降值(AUC = 0.810, P = 0.003)能够准确预测HBeAg血清学转换。相关研究已在Journal of Medical Virology期刊发表。


相关链接:
1. https://pubmed.ncbi.nlm.nih.gov/37589263/
2. https://bmcmedicine.biomedcentral.com/articles/10.1186/s12916-024-03294-2
3. http://dx.doi.org/10.1002/jmv.29670
作者:叶 铃 彭松绪 编辑:肖铂洋
(一审:龚雯洁 二审:秦家碧 三审:王 超)